![]()

<목차>
01 유전자 개념
02 멘델의 유전법칙
03 유전자간 상호작용
04 질적형질과 양적형질의 유전
05 유전자 작용의 특성
1. 유전자 개념
* 유전단위
식물육종에서의 유전자 형질은 유전자에 의해 지배되고, 형질을 지배하는 유전자는 물질적으로 DNA이며, DNA는 염색체에 존재함

* 게놈(genome)
- 생명체가생존하는데반드시필요한기본염색체(유전자) 세트 생명체의모든유전자를포함하는생명단위 한 개의 게놈속에는 상동염색체가 포함될 수 없다. Genome=gene(유전자) + chromosome(염색체)
* 시스트론(cistron)
- 단백질 단위에 상응하는 DNA 영역 유전자의 기능단위 유전자와 동일한의미 육종에서는 새로운기능을 가진 신품종개발이 목표이므로 시스트론을 유전자로 판단한다.

* 염색체지도
- 유전자의 위치만 표시한 유전자 지도 최초의 유전자 지도: 노랑초파리 염색체 지도(1913)
* 분자표지지도
- 분자표지를 포함한 유전자 지도 최초의 분자표지 지도: 토마토 유전자지도(1986)
* 물리지도
- DNA 단편을 순서대로 나열한 지도 → RFLP, FISH, STS 등 분자표지와 분자잡종형성, 유전자 증폭(PCR) 기법 등을 이용 → 분자생물학 연구와 형질전환 육종에 활용
2. 멘델의 유전법칙


* 멘델의 제1법칙은 모든 경우에 적용됨 멘델의 제2법칙은 연관유전자의 경우 적용되지 않음 서로 다른 독립유전자임에도 다른 유전자와 상호작용하여 형질에 관여할 때는 분리비 9:3:3:1이 적용되지 않음
3. 유전자간 상호작용
1) 비대립유전자의 상호작용


4. 질적형질과 양적형질의 유전
1) 형질의 구분
* 질적형질
- 자연집단과 잡종집단에서 불연속변이하는 형질 질적형질의 유전 - 질적유전 → 유전배경이나 환경의 영향이 크지 않다.
* 양적형질
- 자연집단과 잡종집단에서 연속변이하는 형질 양적형질의 유전 - 양적유전 → 유전배경이나 환경의 영향이 큼

* 폴리진
- 연속변이하는 양적형질에 관여하여 연속변이의 원인이 되는 많은 유전자
- 여러 개의 유전자가 시스템을 이루고 있는 유전단위
- 핵내 유전자로 멘델식 유전법칙 적용
2) 양적형질의 통계분석
* 유전분산
- 연속변이하는 형질의 변이 정도를 수치로 나타낸 것

- 분산은 합하거나 분할할 수 있음

* 환경분산
순계인 양친, 또는 양친과 F1으로부터 구할 수 있음

* 유전분산
상가적 분산( V D )=육종가(breeding value)

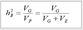
3) 양적형질의 유전력
* 유전력
전체 표현형 분산 중 유전분산이 차지하는 비율 자손과 양친의 유사정도를 나타내는 통계량 육종에서 양적형질의 선발을 위한 자료
유전력 넓은 의미의 유전력→ 전체 표현형 분산에 대한 유전분산의 비율

* 유전력
유전력은 0에서 1 사이의 값을 가짐 형질에 따라 유전력의 크기가 다름 유전력이 높을수록 자손의 형질이 양친과 많이 닮음
좁은 의미의 유전력이 높으면 고정되는 상가적 유전자 효과가 커서 개체선발과 조기선발을 할 수 있음 좁은 의미의 유전력이 낮을 때는 초기 세대에 집단선발을 하고 집단내 동형접합체가 증가한 후기에 개체선발 함
5. 유전자 작용의 특성
1) 유전자형의 반응규격
* 반응규격(reaction norm)
유전자형이 발현하는 표현형의범위 표현형의 종류가많으면 유전자형의 반응규격이 큼 반응규격이 클수록 형질의변이가많음 육종적 입장에서는 반응규격이 큰 유전자형이 바람직함
2) 침투율과 표현도

침투율

표현도(expressivity
* 다면발현(pleiotropy)
한 가지 유전자 생성물이 다른 여러 가지 형질에 관여하는 현상
* 가변성(plasticity)
동일한 유전자형의 형질이 환경변화에 따라 표현형이 다르게 나타나는 특성
예) 동남아시아의 부도(floating rice)
| 국가직 9급 지방직 농업직 공무원 재배 육종학 핵심 필수 정리 6강. 계통육종과 집단육종 (0) | 2022.08.23 |
|---|---|
| 국가직 9급 지방직 농업직 공무원 재배 육종학 핵심 필수 정리 5강. 육종계획, 도입육종, 분리육종 (0) | 2022.08.23 |
| 국가직 9급 지방직 농업직 공무원 재배 육종학 핵심 필수 정리 4강. 집단의 유전변이와 선발 (0) | 2022.08.22 |
| 국가직 9급 지방직 농업직 공무원 재배 육종학 핵심 필수 정리 2. 강. 식물의 생식과 유전변이 (0) | 2022.08.21 |
| 국가직 9급 지방직 농업직 공무원 재배 육종학 핵심 필수 정리 1. 강. 농경과 육종 (2) | 2022.08.21 |